数据结构
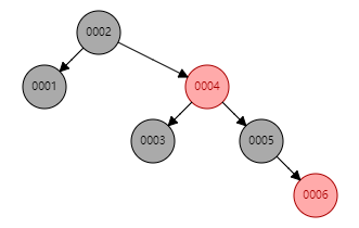
二叉树

比上个节点小的数据会放在树的左边,大的会放在树的右边
当树比较平衡时,查询会比链表快

问题:
处理自增,有序的数据可能会退化为链表,这样查询速度没有提升
红黑树(二叉平衡树)
在二叉树的基础上进行了升级,可以对树进行平衡,通过修改根节点的方式,防止树退化为链表。
当树的一边比另外一边高2层就会自动平衡。

问题:
数据量大的时候,会导致数据层级太高。
如果找到的数据时层级很深的叶子节点,也会循环很多次,效率也就不高了。
B Tree
在红黑树的基础上进行了升级,通过扩展叶子节点,来解决红黑树层级过高的问题。
让一个节点可以存储多个数据,同时一个节点可以指向多个不同的叶子节点。
这时,每个叶子节点与非叶子节点上都存有数据key与data。

问题:
每个节点都存储有数据的key与data,占用着磁盘空间。
如果数据的data很大,则会挤压key的空间,这样节点存储的数据量就会少。
在数据量很大时,也会有层级深度较大的问题。
每次遍历节点都需要与磁盘交互,层级深度会增大查询时磁盘I/O交互,进而影响查询效率。
B+ Tree
B+ Tree 是在 B Tree的基础上进行的一种优化。
在非叶子节点只存储key,通过key找到叶子中的data,这样非叶子节点可以存储大量的key。
叶子节点存储数据的key与data,通过指针让它们形成一个有序的列表,这让范围查找更加便捷。

在MySQL的InnoDB存储引擎就使用的B+ Tree结构,并对其进行了一定的优化。
本文是原创文章,采用 CC BY-NC-ND 4.0 协议,完整转载请注明来自 七十七
评论
匿名评论
隐私政策
你无需删除空行,直接评论以获取最佳展示效果